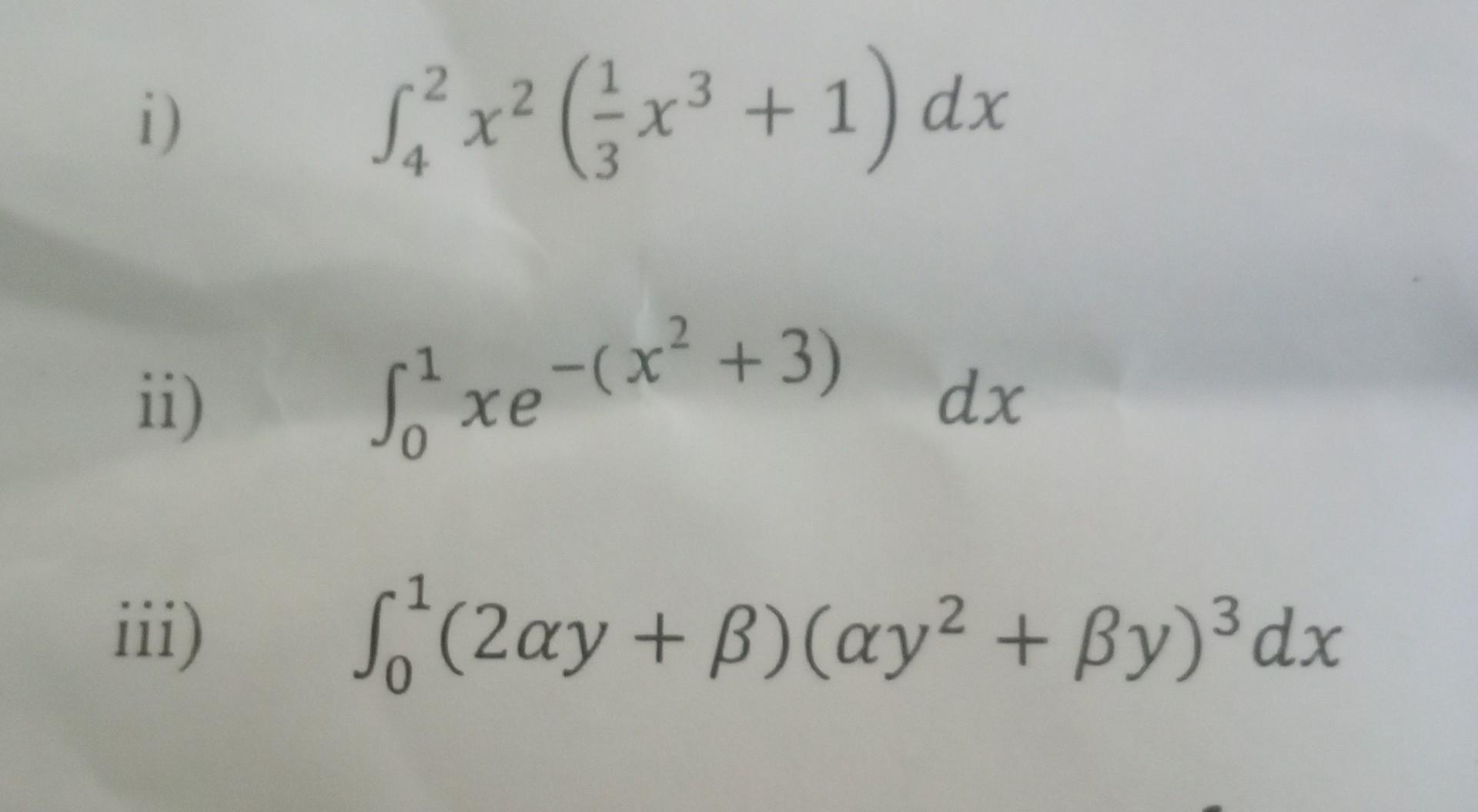
Solved i) ∫42x2(31x3+1)dx ii) ∫01xe−(x2+3)dx iii) | Chegg.com
Learning

Solved i) ∫42x2(31x3+1)dx ii) ∫01xe−(x2+3)dx iii) | Chegg.com

1920 × 1056 px November 21, 2024 Ashley Learning

In the realm of mathematics and computer science, the concept of X 2 3 1 holds significant importance. This sequence, often referred to as a permutation or a specific arrangement, can be found in various algorithms and mathematical problems. Understanding X 2 3 1 involves delving into the fundamentals of permutations, combinations, and their applications in different fields. This blog post will explore the intricacies of X 2 3 1, its significance, and how it can be applied in real-world scenarios.

Understanding X 2 3 1

X 2 3 1 is a specific permutation of the numbers 1, 2, and 3. Permutations are arrangements of objects in a specific order. In this case, the sequence X 2 3 1 represents a unique arrangement where X can be any number or variable. The significance of this permutation lies in its application in various algorithms and mathematical problems.

To understand X 2 3 1 better, let's break down the components:

  • X: This can be any number or variable. It adds flexibility to the permutation, allowing for different interpretations and applications.
  • 2: The second element in the sequence.
  • 3: The third element in the sequence.
  • 1: The first element in the sequence.

This sequence can be visualized as a specific order of elements, where the position of each element is crucial. The flexibility of X allows for various interpretations, making it a versatile tool in different mathematical and computational contexts.

Applications of X 2 3 1

The concept of X 2 3 1 finds applications in various fields, including computer science, cryptography, and data analysis. Let's explore some of these applications in detail.

Computer Science

In computer science, permutations are often used in algorithms for sorting, searching, and optimization. The sequence X 2 3 1 can be used in sorting algorithms to determine the order of elements. For example, in a bubble sort algorithm, the sequence can help in comparing and swapping elements to achieve the desired order.

Additionally, X 2 3 1 can be used in cryptography to create encryption keys. The flexibility of X allows for the generation of unique keys, enhancing the security of encrypted data. The specific order of elements in the sequence can be used to encode and decode messages, ensuring that only authorized users can access the information.

Data Analysis

In data analysis, permutations are used to analyze patterns and trends in data sets. The sequence X 2 3 1 can be used to rearrange data points to identify correlations and anomalies. For example, in a time series analysis, the sequence can help in predicting future trends by analyzing the order of data points.

Moreover, X 2 3 1 can be used in statistical analysis to calculate probabilities and distributions. The specific order of elements in the sequence can be used to determine the likelihood of different outcomes, helping analysts make informed decisions.

Mathematics

In mathematics, permutations are fundamental to the study of combinatorics and probability. The sequence X 2 3 1 can be used to solve problems related to arrangements and selections. For example, in a problem involving the arrangement of objects, the sequence can help in determining the number of possible permutations.

Additionally, X 2 3 1 can be used in probability theory to calculate the likelihood of different events. The specific order of elements in the sequence can be used to determine the probability of a particular outcome, helping mathematicians solve complex problems.

Real-World Examples

To better understand the applications of X 2 3 1, let's look at some real-world examples.

Example 1: Sorting Algorithms

Consider a sorting algorithm that uses the sequence X 2 3 1 to determine the order of elements. In this case, X can be any number or variable, allowing for different interpretations and applications. The algorithm can be used to sort a list of numbers or strings, ensuring that the elements are arranged in the desired order.

For example, if we have a list of numbers [3, 1, 2], the algorithm can use the sequence X 2 3 1 to rearrange the elements as [1, 2, 3]. This ensures that the elements are sorted in ascending order, making it easier to analyze and interpret the data.

Example 2: Cryptography

In cryptography, the sequence X 2 3 1 can be used to create encryption keys. The flexibility of X allows for the generation of unique keys, enhancing the security of encrypted data. For example, if we have a message "HELLO", the sequence can be used to encode the message as "OLLEH". Only authorized users with the correct key can decode the message, ensuring that the information remains secure.

Example 3: Data Analysis

In data analysis, the sequence X 2 3 1 can be used to rearrange data points to identify patterns and trends. For example, if we have a time series data set, the sequence can help in predicting future trends by analyzing the order of data points. This can be particularly useful in fields such as finance, where predicting market trends is crucial for making informed decisions.

Importance of X 2 3 1 in Modern Technology

The significance of X 2 3 1 in modern technology cannot be overstated. As technology continues to evolve, the need for efficient algorithms and secure encryption methods becomes increasingly important. The sequence X 2 3 1 plays a crucial role in these areas, providing a versatile tool for solving complex problems.

In the field of artificial intelligence, X 2 3 1 can be used to optimize algorithms for machine learning and data analysis. The specific order of elements in the sequence can help in training models to recognize patterns and make predictions. This can be particularly useful in applications such as image recognition, natural language processing, and autonomous vehicles.

Moreover, X 2 3 1 can be used in the development of secure communication systems. The flexibility of X allows for the generation of unique encryption keys, enhancing the security of encrypted data. This can be particularly important in fields such as healthcare, where protecting patient data is crucial.

In summary, the sequence X 2 3 1 is a versatile tool with applications in various fields. Its significance lies in its ability to provide a specific order of elements, allowing for different interpretations and applications. As technology continues to evolve, the importance of X 2 3 1 is likely to grow, making it an essential concept in modern technology.

💡 Note: The applications of X 2 3 1 are not limited to the examples provided. The sequence can be used in various other fields, including physics, engineering, and biology. Its versatility makes it a valuable tool for solving complex problems in different contexts.

In conclusion, the concept of X 2 3 1 is a fundamental aspect of mathematics and computer science. Its applications in sorting algorithms, cryptography, data analysis, and modern technology highlight its significance in various fields. Understanding X 2 3 1 and its applications can provide valuable insights into solving complex problems and making informed decisions. As technology continues to evolve, the importance of X 2 3 1 is likely to grow, making it an essential concept in modern technology.

Related Terms:

  • factorise x 2 3x
  • x 3 2 simplify
  • factorise x 3 2x 2
  • x minus 3 squared
  • factorise x3 2x2 x 2
  • x 3 2x 2 x 2

More Images