September 20, 2025

Demand Letter Sample

Demand Letter Sample

Navigating the complexities of legal disputes can be daunting, especially when it comes to drafting a Demand Letter Sample. A well-crafted demand letter can often resolve issues without the need for costly litigation. This guide will walk you through the essential components of a demand letter, provide a sample, and offer tips to ensure your letter is effective.

Understanding the Purpose of a Demand Letter

A demand letter is a formal document sent to an individual or entity to demand payment, action, or resolution of a dispute. It serves as a final attempt to resolve the issue amicably before escalating to legal action. The primary goals of a demand letter are to:

  • Clearly state the issue and the desired resolution.
  • Provide evidence supporting your claim.
  • Set a deadline for the recipient to respond or take action.
  • Outline the consequences if the demand is not met.

Key Components of a Demand Letter

A well-structured demand letter should include the following key components:

  • Your Contact Information: Include your name, address, phone number, and email address.
  • Recipient’s Contact Information: Include the name and address of the person or entity you are sending the letter to.
  • Date: The date you are sending the letter.
  • Subject Line: A clear and concise subject line that summarizes the purpose of the letter.
  • Introduction: A brief introduction that states the purpose of the letter.
  • Details of the Dispute: A detailed description of the issue, including dates, amounts, and any relevant documents.
  • Demand for Action: Clearly state what you want the recipient to do, such as paying a debt, correcting a mistake, or taking specific actions.
  • Deadline: Set a reasonable deadline for the recipient to respond or take action.
  • Consequences: Outline the consequences if the demand is not met, such as legal action.
  • Closing: A polite closing that includes your signature and printed name.

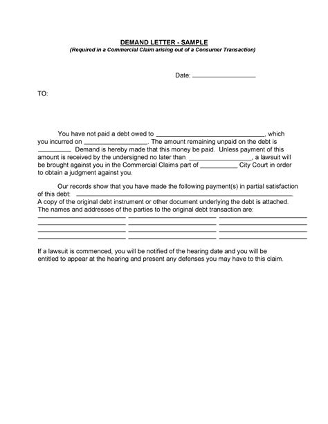
Demand Letter Sample

Below is a sample demand letter that you can use as a template for your own needs. This example is for a debt collection scenario, but the structure can be adapted for other types of disputes.

Your Name
Your Address
City, State, ZIP Code
Phone Number
Email Address
Date

Recipient's Name
Recipient's Address
City, State, ZIP Code

Subject: Demand for Payment of Outstanding Debt

Dear [Recipient's Name],

I am writing to demand payment of an outstanding debt of [amount] that is currently owed to me. The debt arose from [briefly describe the circumstances, e.g., a loan, unpaid rent, etc.].

On [date], I provided you with [details of the transaction or agreement]. Despite multiple reminders, the debt remains unpaid. As of today, the total amount owed, including any interest or late fees, is [amount].

I demand that you pay the full amount of [amount] within [number] days from the date of this letter. Payment should be made by [specify the method of payment, e.g., check, money order, etc.].

If payment is not received by the specified deadline, I will have no choice but to take legal action to recover the debt. This may include filing a lawsuit and seeking additional damages, including attorney's fees and court costs.

Please contact me at [your phone number] or [your email address] to discuss this matter further or to arrange payment. I hope we can resolve this issue promptly and avoid further legal action.

Sincerely,

[Your Signature]

[Your Printed Name]

Tips for Writing an Effective Demand Letter

Writing an effective demand letter requires attention to detail and a clear, concise approach. Here are some tips to help you craft a compelling demand letter:

  • Be Clear and Concise: Avoid using legal jargon and keep the language simple and straightforward.
  • Provide Evidence: Include any relevant documents or evidence that support your claim, such as contracts, invoices, or correspondence.
  • Set a Realistic Deadline: Give the recipient a reasonable amount of time to respond or take action, but not so much time that it delays resolution.
  • Be Polite but Firm: Maintain a professional and polite tone, but be firm in your demands and the consequences if they are not met.
  • Proofread: Ensure there are no spelling or grammatical errors, as these can undermine the credibility of your letter.

Common Mistakes to Avoid

When drafting a demand letter, it’s important to avoid common mistakes that can weaken your case. Here are some pitfalls to watch out for:

  • Being Vague: Clearly state the issue and what you want the recipient to do. Vague demands can lead to confusion and delay resolution.
  • Using Threats: Avoid making empty threats or using aggressive language. Stick to the facts and the consequences if your demands are not met.
  • Ignoring Deadlines: Set a clear deadline and stick to it. If the recipient does not respond by the deadline, follow through with the consequences you outlined.
  • Not Keeping Records: Keep copies of all correspondence and documents related to the dispute. This will be crucial if the matter escalates to legal action.

πŸ“ Note: Always consult with a legal professional if you are unsure about any aspect of your demand letter or the legal process.

While a demand letter can often resolve disputes without legal intervention, there are situations where seeking legal advice is necessary. Consider consulting with a lawyer if:

  • The dispute involves a significant amount of money.
  • The other party is represented by legal counsel.
  • The dispute is complex and involves multiple issues.
  • You are unsure about the legal process or your rights.

Legal professionals can provide valuable guidance and ensure that your demand letter is legally sound and effective.

Conclusion

Drafting a Demand Letter Sample is a crucial step in resolving disputes amicably. By including all the necessary components, providing clear and concise information, and setting a reasonable deadline, you can increase the likelihood of a successful resolution. Remember to maintain a professional tone and be prepared to follow through with legal action if necessary. With careful attention to detail and a well-crafted demand letter, you can often avoid the time and expense of litigation.

Related Terms:

  • microsoft word template demand letter
  • example of a letter demand
  • template of a letter demand
  • examples of letters demand
  • printable demand letter
  • strong demand letter template