December 23, 2024

Car Hire Contract Template

Car Hire Contract Template

Navigating the world of car hire can be a complex process, especially when it comes to understanding the legalities and responsibilities involved. One of the most crucial documents in this process is the Car Hire Contract Template. This template serves as a legal agreement between the car hire company and the customer, outlining the terms and conditions of the rental. Understanding the components of a Car Hire Contract Template is essential for both parties to ensure a smooth and hassle-free rental experience.

Understanding the Basics of a Car Hire Contract Template

A Car Hire Contract Template is a standardized document that details the rights and obligations of both the car hire company and the renter. It covers various aspects, including the rental period, payment terms, insurance coverage, and liability. By familiarizing yourself with the key elements of this template, you can make informed decisions and avoid potential pitfalls.

Key Components of a Car Hire Contract Template

The Car Hire Contract Template typically includes several essential components. These components ensure that both parties are aware of their responsibilities and the terms of the agreement. Here are the key elements:

  • Rental Period: This section specifies the start and end dates of the rental. It is crucial to ensure that the rental period aligns with your travel plans to avoid additional charges.
  • Vehicle Details: This includes the make, model, and registration number of the vehicle. It is important to verify these details to ensure you are renting the correct vehicle.
  • Rental Rates: This section outlines the cost of the rental, including any additional fees such as insurance, fuel charges, and taxes. Understanding the total cost upfront can help you budget accordingly.
  • Payment Terms: This specifies how and when the rental fees are to be paid. It may include details about deposits, refunds, and payment methods accepted.
  • Insurance Coverage: This section details the insurance coverage provided by the car hire company. It is important to understand what is covered and what is not, as well as any additional insurance options available.
  • Liability and Responsibility: This outlines the responsibilities of both parties in case of damage, theft, or accidents. It is crucial to understand your liability and the steps to take in such situations.
  • Cancellation Policy: This section details the terms for canceling the rental agreement. Understanding the cancellation policy can help you avoid penalties if your plans change.
  • Mileage Limits: This specifies any limits on the number of miles you can drive the vehicle. Exceeding these limits may result in additional charges.
  • Fuel Policy: This outlines the fuel policy, including whether the vehicle should be returned with a full tank and any associated charges.
  • Additional Drivers: This section details the terms for adding additional drivers to the rental agreement. There may be additional fees and requirements for additional drivers.

Creating a Comprehensive Car Hire Contract Template

Creating a comprehensive Car Hire Contract Template involves including all the necessary details to protect both the car hire company and the renter. Here is a step-by-step guide to creating a detailed and effective template:

Step 1: Define the Rental Period

Clearly specify the start and end dates of the rental. Include the time of day for pick-up and drop-off to avoid any confusion.

Step 2: Provide Vehicle Details

Include the make, model, year, color, and registration number of the vehicle. This ensures that both parties are aware of the specific vehicle being rented.

Step 3: Outline Rental Rates

Detail the cost of the rental, including any additional fees such as insurance, fuel charges, and taxes. Break down the costs to provide transparency.

Step 4: Specify Payment Terms

Outline how and when the rental fees are to be paid. Include details about deposits, refunds, and accepted payment methods.

Step 5: Detail Insurance Coverage

Explain the insurance coverage provided by the car hire company. Include information on deductibles, excess charges, and any additional insurance options available.

Step 6: Define Liability and Responsibility

Outline the responsibilities of both parties in case of damage, theft, or accidents. Include steps to take in such situations and any associated costs.

Step 7: Include Cancellation Policy

Detail the terms for canceling the rental agreement. Specify any penalties or fees for late cancellations or no-shows.

Step 8: Specify Mileage Limits

Include any limits on the number of miles you can drive the vehicle. Explain the charges for exceeding these limits.

Step 9: Outline Fuel Policy

Detail the fuel policy, including whether the vehicle should be returned with a full tank and any associated charges.

Step 10: Add Information for Additional Drivers

Include terms for adding additional drivers to the rental agreement. Specify any additional fees and requirements for additional drivers.

πŸ“ Note: Ensure that the Car Hire Contract Template is reviewed by a legal professional to ensure compliance with local laws and regulations.

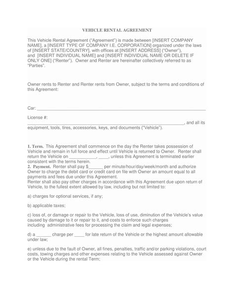
Sample Car Hire Contract Template

Below is a sample Car Hire Contract Template that includes all the essential components. This template can be customized to fit the specific needs of your car hire business.

Section Details
Rental Period Start Date: [Insert Start Date]
End Date: [Insert End Date]
Pick-up Time: [Insert Pick-up Time]
Drop-off Time: [Insert Drop-off Time]
Vehicle Details Make: [Insert Make]
Model: [Insert Model]
Year: [Insert Year]
Color: [Insert Color]
Registration Number: [Insert Registration Number]
Rental Rates Daily Rate: [Insert Daily Rate]
Additional Fees: [Insert Additional Fees]
Total Cost: [Insert Total Cost]
Payment Terms Deposit: [Insert Deposit]
Refund Policy: [Insert Refund Policy]
Payment Methods: [Insert Payment Methods]
Insurance Coverage Coverage Details: [Insert Coverage Details]
Deductibles: [Insert Deductibles]
Excess Charges: [Insert Excess Charges]
Additional Insurance Options: [Insert Additional Insurance Options]
Liability and Responsibility Responsibilities: [Insert Responsibilities]
Steps in Case of Damage/Theft/Accident: [Insert Steps]
Associated Costs: [Insert Associated Costs]
Cancellation Policy Cancellation Terms: [Insert Cancellation Terms]
Penalties: [Insert Penalties]
Mileage Limits Mileage Limit: [Insert Mileage Limit]
Charges for Exceeding Limit: [Insert Charges]
Fuel Policy Fuel Policy: [Insert Fuel Policy]
Associated Charges: [Insert Associated Charges]
Additional Drivers Additional Driver Fees: [Insert Additional Driver Fees]
Requirements: [Insert Requirements]

Importance of a Well-Crafted Car Hire Contract Template

A well-crafted Car Hire Contract Template is essential for protecting both the car hire company and the renter. It ensures that all parties are aware of their rights and responsibilities, reducing the risk of disputes and misunderstandings. By including all the necessary details, you can create a comprehensive and effective contract that covers all aspects of the rental agreement.

In addition to protecting both parties, a well-crafted Car Hire Contract Template can also enhance the overall rental experience. It provides clarity and transparency, allowing renters to make informed decisions and feel confident in their rental choice. This can lead to higher customer satisfaction and repeat business.

Furthermore, a comprehensive contract can help car hire companies manage their fleet more effectively. By outlining the terms and conditions clearly, companies can reduce the risk of damage, theft, and other issues, ensuring that their vehicles are well-maintained and available for future rentals.

In summary, a well-crafted Car Hire Contract Template is a crucial tool for any car hire business. It provides legal protection, enhances customer satisfaction, and helps manage the fleet effectively. By including all the necessary details and ensuring compliance with local laws and regulations, you can create a comprehensive and effective contract that benefits both the car hire company and the renter.

In conclusion, understanding the components of a Car Hire Contract Template is essential for navigating the world of car hire. By familiarizing yourself with the key elements and creating a comprehensive template, you can ensure a smooth and hassle-free rental experience. Whether you are a car hire company or a renter, a well-crafted contract provides the necessary protection and clarity to make informed decisions and avoid potential pitfalls.

Related Terms:

  • free vehicle rental agreement template
  • blank car rental agreement template
  • private car rental agreement template
  • car hire contract sample
  • free printable car rental contract
  • car rental agreement template word